摘要:本文由365环保公司整理而成,主要讲述脱氮菌剂在不同浓度黑臭水体中氮代谢特征,2019年2月粤港澳大湾区宣布成立, 并明确提出建设粤港澳大湾区要牢固树立和践行绿水青山就是金山银山的理念, 实行最严格的生态环境保护制度.随着大湾区部分城市航运业、养殖业的高速发展, 区域水质环境污染问题日益严重, 水质状况不容乐观.水体黑臭是水体在有机污染情况下, 产生氨气、硫化氢和有机酸等恶臭......
关键词:工业水处理,污泥干燥,污泥干燥.
2019年2月粤港澳大湾区宣布成立, 并明确提出建设粤港澳大湾区要牢固树立和践行绿水青山就是金山银山的理念, 实行最严格的生态环境保护制度.随着大湾区部分城市航运业、养殖业的高速发展, 区域水质环境污染问题日益严重, 水质状况不容乐观.
水体黑臭是水体在有机污染情况下, 产生氨气、硫化氢和有机酸等恶臭物质以及铁、锰和硫化物等黑色物质所致.黑臭水体由于严重缺氧, 水体中大量生物无法生存, 水体生态系统遭到破坏, 失去自净功能.黑臭水体治理方法有物理法、化学法和生物法, 生物法中的微生物在生物修复中发挥重要作用.罗家海在研究珠江广州河段局部水体黑臭时也提出, 珠江广州河段溶解氧低, 局部水体黑臭的主要原因是水体中氨氮太多, 大量消耗水中的溶解氧所致, 降低氨氮的含量对提高河水的溶解氧至关重要.其他学者也提出影响水体污染的因素中氮类物质占据重要地位, 特别是NH4+-N, 许多水体恶化都和其关系密切. 2018年李骏飞等监测广州市石井河监控断面显示, 氨氮最高达到30.4 mg·L-1, 溶解氧仅为0.12 mg·L-1, 其它监控断面显示溶解氧浓度多数小于1 mg·L-1, 氨氮浓度大于10 mg·L-1水体黑臭现象严重.除去黑臭水体中的氮素, 需要曝气增加水体中的溶解氧, 大功率的曝气补充溶解氧增加了治理费用, 如何较少运行费用是黑臭水体长期治理亟需解决的问题.
对于黑臭水体的治理, 与物理化学法比较, 微生物法因投资少、运行费用低和无二次污染等优点而被广泛用于黑臭水体治理工程中.Sheng等利用光合微生物菌剂治理山东昌邑的堤河, 结果显示在5个月的治理周期中, 取得了较好效果, S2-浓度从2.9 mg·L-1降为0.2 mg·L-1.沙昊雷等在常州市白荡浜黑臭水体生态治理工程中添加微生物底质改良剂以促进底泥中无机硫的矿化进程, 在项目运行过程中, 水体透明度由15 cm提升至30~40 cm.肖羽堂等修复广东南海某黑臭河涌, 通过向底泥和上覆水体里投加培养、驯化的优势菌种, 辅以光合细菌、硝化细菌, 上覆水体的水质显著好转, 水体黑臭完全消除.张丽等均匀投加生物促生剂改善河道水质, 氮、磷类营养物质得到降解, 水体修复效果明显, 水体黑臭消除.
通过调查发现, 广州市白云区水质污染严重, 呈现黑臭现象, 其中溶解氧处于0.15~2 mg·L-1之间, 氨氮在8~30 mg·L-1, 总氮12~35 mg·L-1, COD 29~373 mg·L-1.同样研究珠海市斗门区五福涌等8条河涌黑臭水体呈现同样特点, 溶解氧(DO)多数处于0.2~2 mg·L-1, 氨氮高于15 mg·L-1 .由此可见, 该区域黑臭水体普遍溶解氧浓度较低, 氨氮浓度较高.为保证反应正常进行, 通过曝气提高溶解氧浓度, 溶解氧浓度过低影响硝化速率, 溶解氧浓度过高引起资源浪费, 研究通过调节曝气泵阀门控制曝气量, 溶解氧浓度控制在0.8~2 mg·L-1.
氨化细菌可将污染水体中的有机氮转化为铵态氮, 有氧条件下, 硝化细菌将氨氮氧化为亚硝酸盐氮和硝酸盐氮;缺氧条件下, 硝酸盐氮或亚硝酸盐在反硝化细菌作用下还原为氮气, 实现水体中氮的生物地球化学循环.本研究在低溶解氧黑臭水体中添加实验室筛选的高效氨化细菌、硝化细菌和反硝化细菌制成的菌剂, 考察脱氮微生物菌剂在低溶解氧黑臭水体中的脱氮效率, 以期为大湾区珠三角地区黑臭水体的治理提供技术支持.
1 材料与方法
1.1 实验材料
紫外可见分光光度计(WFZ UV-2802), 龙尼柯(上海)仪器有限公司;化学需氧量(COD)快速测定仪(5B-3C), 兰州连华环保科技有限公司;Hydrolab多参数水质检测仪型号(DS 5X, DS 5);可见分光光度计(22PC06119), 上海棱光技术有限公司;人工气候箱(LRH-250-GS)广东省医疗器械厂
测试菌剂添加量实验用水为污水处理厂排放的尾水, 氨氮浓度2.31 mg·L-1、硝态氮浓度0.44 mg·L-1、亚硝态氮浓度0.189 mg·L-1.测试不同总氮浓度下的氨化、硝化菌剂实验用黑臭水取自洨河三环桥下游100 m;该河流收纳城市污水处理厂尾水以及沿途一些处理未达标污水, 河道内水流速度缓慢, 由于季节变化温度升高, 水体黑臭严重, 总氮浓度实验通过在取回的黑臭水样中加入一定量硫酸铵和蒸馏水调整总氮浓度, 设置总氮(TN)分别为15、25和35 mg·L-13个浓度梯度.反硝化用黑臭水体取自桥东污水处理厂上游200 m处, 该处未接纳城市尾水, 水体流速极度缓慢, 水体黑臭更加严重, 同上方法设置3个浓度梯度, 实验温度30~35℃, 与大湾区夏季温度相似, 该温度在水体氮磷及有机物过量条件下, 水体易发生富营养化导致黑臭.
实验室采集黑臭水体水样通过富集、筛选获得实验菌株:黄色菌落氨化细菌(Staphylococcus sp.Ay)、白色菌落硝化细菌(Microbacterium sp.Xw)和黄色菌落反硝化细菌(Arthrobacter sp.Fy)的16S rDNA序列可通过NCBI网站上的GenBank数据库查阅, 登录号分别为:MN649208、MN649209和MN649210.氨化细菌、硝化细菌和反硝化3种细菌制成的3种菌剂(菌活数)浓度分别为6.5×108、6×108和5×108 CFU·mL-1.
原菌剂浓度为低浓度和3倍菌剂浓度为高浓度(3 mL菌剂5 000 r·min-1离心5 min, 去掉2 mL上清液, 得3倍浓度菌剂); 菌剂在污水中的添加量为2%, 即低浓度时, Ay、Xw、Fy在污水中的活菌数分别为1.3×107、1.2×107和1.0×107 CFU·mL-1, 高浓度时, 细菌活菌数密度提高3倍.黑臭水体溶解氧浓度控制在0.8~2 mg·L-1.
1.2 实验方法
氨氮测定采用奈氏比色法、亚硝酸盐氮测定采用盐酸α-萘胺比色法、硝酸盐氮和总氮测定采用紫外分光光度法.
利用尾水和模拟废水, 通过不同菌群浓度和不同底物浓度, 检测筛选出的氨化细菌(Ay)、硝化细菌(Xw)和反硝化细菌(Fy)制成菌剂在尾水和模拟废水中的氮转化特征;然后在低溶解氧条件下, 研究Ay、Xw和Fy菌剂浓度不同在同浓度黑臭水体中氮代谢变化情况、以及相同菌剂浓度对不同浓度黑臭水体氮代谢特征.
2 结果与分析2.1 检测优化筛选菌剂不同菌剂浓度氮代谢结果2.1.1 Ay菌剂氮代谢结果
研究通过优化筛选获得氨化效率最高的氨化细菌菌株Ay, 制成菌剂, 其不同浓度的氨化效率与硝化、亚硝化特征如图 1所示.
图 1

由图 1可以看出, Ay菌剂在不同浓度下, 对氮代谢趋势基本相同, 都是氨氮浓度增加, 硝态氮和亚硝态氮浓度降低.图 1(a)在含有较低浓度氨化细菌时, 其浓度增加168%略低于图 1(b)高浓度浓度增加180%, 细菌浓度增加3倍, 氨浓度没有成倍增加, 说明在此实验条件下增加氨化细菌浓度不是增加氨化速率的最佳方法.图 1显示Ay菌剂对低浓度(0.44 mg·L-1)硝态氮具有较好的去除作用, 去除率达到95%以上, Ay菌剂对亚硝态氮去除效果不明显, 增加Ay菌剂浓度去除效率没有明显提高.具体联系污水宝或参见http://www.dowater.com更多相关技术文档。
2.1.2 Xw菌剂氮代谢结果
高效Xw菌剂不同浓度氮代谢变化特征如图 2所示.
图 2

由图 2可以看出随着时间变化, 亚硝态氮和氨氮浓度明显降低, 硝态氮浓度明显增加.其中显示低浓度Xw菌剂对氨氮的去除率为54%, 高浓度Xw菌剂氨氮的去除率为46%, 表明Xw菌剂细菌浓度增加降低了氨氮的去除率.图 2中亚硝态氮的浓度逐渐降低, 图 2(a)中低浓度Xw菌剂对亚硝态氮的去除率为51%, 图 2(b)中高浓度Xw菌剂的去除率为54%, 图 2(a)与图 2(b)表明Xw菌剂浓度变化对亚硝态氮的去除率变化不明显.图 2中显示Xw菌剂对硝态氮浓度变化影响显著, 低浓度条件下60 h硝态氮浓度增加180%, 高浓度菌剂为231%.在硝化Xw菌剂低浓度条件下60 h时, 硝态氮浓度呈现上升趋势, 硝态氮的生成仍然在进行, 在Xw高浓度条件下48 h后, 浓度变化缓慢.以上结果表明Xw菌剂浓度增加, 开始时可以增加硝态氮的生成速率, 但随着硝态氮浓度的增加, 硝态氮生成速率缓慢.
2.1.3 Fy菌剂氮代谢结果
研究Fy菌剂不同浓度对不同形态氮代谢特征, 结果如图 3所示.
图 3

由图 3看出随着时间的进行, 硝态氮浓度明显下降, 图 3(a)中硝态氮去除率为66%, 图 3(b)中去除率为70%, Fy浓度的增加对硝态氮的影响不明显, 表明Fy反硝化效率较高, 在较低浓度下能很快去除硝态氮.图 3显示亚硝态氮浓度变化不大.不同Fy浓度条件下氨氮去除率不同, 在低浓度条件下去除率为49%, 在高浓度下为32%, 其变化趋势随着Fy菌剂浓度增加而降低.由以上结果比较得出, Fy菌剂亚硝态氮的生成效率较慢, 由此得出在水处理脱氮过程中, 亚硝化过程是脱氮工艺的限速步骤.
以上实验结果得出, 氨化细菌菌剂和反硝化细菌菌剂浓度增加, 对氨化速率和反硝化速率影响不明显, 硝化细菌菌剂浓度变化对硝态氮的生成速率有明显影响, 但提高效率的菌剂浓度增加量过大, 经济性较低.因此实验采用添加2%原菌剂处理黑臭水体, 研究3种不同菌剂对不同浓度黑臭水体的氮代谢特征.
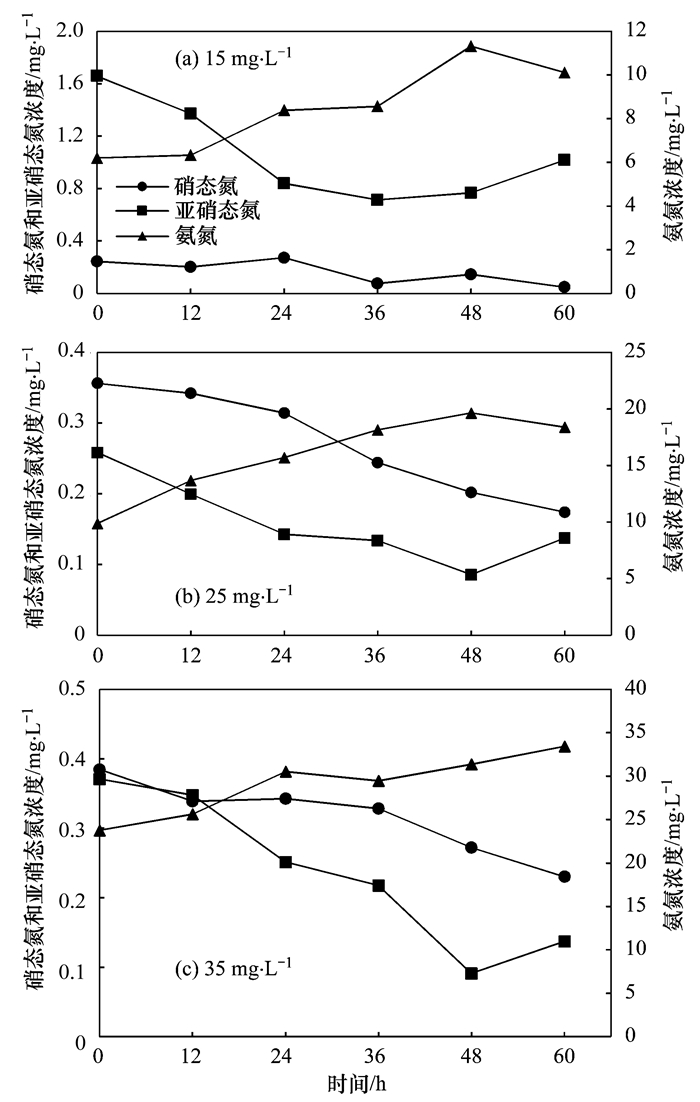
2.2 不同菌剂对黑臭水体不同总氮浓度氮代谢结果
2.2.1 Ay菌剂对黑臭水体不同总氮浓度氮代谢分析
研究Ay菌剂对黑臭水体不同总氮浓度氮代谢情况, 结果如图 4, COD变化如图 5所示.
图 4

图 5

由图 4可以看出, 加入Ay菌剂的样品中, 氨氮浓度都呈现上升趋势, 60 h后, 图 4(a)中氨氮浓度10.1 mg·L-1, 浓度增加62.9%, 低于图 4(b)中氨氮浓度18.4 mg·L-1, 浓度增加86.4%, 但高于图 4(c)中浓度增加40.3%, 表明Ay菌剂在总氮浓度为25 mg·L-1时氨化效率最高, 能把水体中的大分子氮高效转化为氨氮,
可以加快后续硝化反应和反硝化反应的进行, 底物浓度过高抑制了Ay菌剂效率.图 4显示, 在不同底物浓度下, 亚硝态氮浓度都呈下降趋势, 其中去除率分别为38.7%、46.9%和63%, 表明Ay菌剂对亚硝态氮去除率随着浓度增加而增加, 增加速度缓慢.图 4中硝态氮都表现下降趋势, 图 4(a)中下降趋势最明显, 去除率达到80.5%, 随着总氮浓度增加, 去除率逐渐降低, 图 4(b)硝态氮去除率51.2%、图 4(c)硝态氮去除率40.1%.图 5显示总氮浓度不同时COD浓度随时间变化都呈现下降趋势, 36 h后下降趋势变缓, 仍然呈现下降趋势, 总氮浓度不同COD去除率变化不大, 15、25和35 mg·L-1这3个总氮浓度, COD去除率分别为67.7%、52.8%和63.2%.以上结果表明在一定浓度范围内, 总氮浓度的提高可以增加Ay菌剂的氨化效率, 总氮浓度过高会抑制Ay菌剂的氮氮代谢效率.因此水体发生富营养化情况下不加以控制, 持续污染增加总氮浓度, 会导致系统中菌群失衡, 降低氮转化能力.
2.2.2 Xw菌剂对不同浓度黑臭水体氮代谢分析
Xw菌剂对黑臭水体不同总氮浓度氮代谢特征如图 6, COD变化如图 7所示.
图 6

图 7

由图 6可以看出, 氨氮和亚硝态氮浓度变化总体呈现下降趋势, 硝态氮浓度表现为上升趋势.氨氮图 6(a)中60 h后浓度为3.72 mg·L-1, 氨氮去除率为39.2%, 图 6(b)中60 h时氨氮浓度为6.09 mg·L-1, 其去除率为36%, 图 6(c)去除率为41%, 表明Xw菌剂随总氮浓度的变化, 对氨氮去除率变化影响不明显.亚硝态氮去除率随着浓度的增加而增加, 图 6中60 h后亚硝态氮的去除率在3个浓度下分别为41%、65%和72%, 因此Xw菌剂对亚硝态氮去除效果明显, 主要由于该菌剂对氨氮去除效果不显著, 氨氮氧化为亚硝态氮速度缓慢, 系统中亚硝态氮增加量小于减少量, 浓度明显减少, 亚硝态去除率呈现上升趋势.图 6中Xw菌剂的硝态氮生成效率在3种样品中效果较明显, 60 h后图 6中硝态氮在3种实验条件下浓度增加分别为142%、3 736%和1 877%, Xw菌剂硝态氮的合成率在图 6(b)所示条件下达到最好效果, 表明Xw菌剂的合成效率受底物浓度影响, 在一定范围内, 增加底物浓度可以增加菌剂效率, 浓度过高将抑制氮的代谢效果.如图 7所示, COD去除率和氨化细菌表现出相同特征, 浓度整体呈现下降趋势.以上结果表明该菌剂在总氮浓度25 mg·L-1时效果最好.
2.2.3 Fy菌剂对不同浓度黑臭水体氮代谢分析
Fy菌剂对不同浓度黑臭水体氮代谢特征如图 8, COD变化如图 9所示.
图 8

图 9

由图 8可以看出Fy菌剂对氨氮去除效果不明显, Fy菌剂对亚硝态代谢有明显影响, 图 8中显示亚硝态氮浓度较低, 但一直处于累计状态, 整体表现出增长趋势, 图 8中累计浓度增加分别为461%、397%和383%, 表明总氮浓度对Fy菌剂对亚硝态氮的累计效率有影响, 随着浓度的增加, 亚硝态氮的累计效率逐渐降低.硝态氮浓度下降趋势明显, 图 8中显示, 硝态氮在时间进行到36 h时, 去除效率逐渐平缓, 去除率在图 8中分别为45.6%、64.3%和41.3%, 表明在图 8(b)条件下, 总氮浓度为25 mg·L-1时, Fy菌剂对硝态氮的去除率达到最好效果.如图 9所示, COD浓度总体呈下降趋势, 去除率比氨化细菌和硝化细菌偏低.
3 讨论
微生物菌剂是从自然界筛选高效菌种或利用生物工程技术处理后的菌株得到具有特殊功能的生物制剂.王琨等用微生物和其它生物联合处理模拟黑臭水体, 发现微生物菌株能够通过加速黑臭水中有机物降解, 提高溶解氧浓度, 大幅度改善水体黑臭状态.何杰财等修复广东南海某黑臭河涌, 通过向水体里投加培养、驯化的优势菌种制成菌剂, 水体的水质显著好转, 水体黑臭完全消除.用微生物菌剂处理地表黑臭水体, 可以加快水体污染物降解和转化, 使水体环境质量得到改善.
本研究对Ay、Xw和Fy菌剂的氮代谢特征进行了探讨, 发现对氨氮、硝态氮和亚硝态氮代谢都有明显影响, 但每种菌剂的代谢特征不同, 其中Ay的主要氮代谢方向为有机氮的氨化作用、Xw主要氮代谢方向为氨氮的硝化作用、Fy主要硝态氮代谢方向为氮的反硝化作用.早期研究普遍认为, 反硝化反应需要在严格厌氧条件下进行.随后人们分离出大量有氧反硝化细菌, 主要包括属于产碱杆菌属(Alcaligenes)、假单胞菌属(Pseudomonas)、芽孢杆菌属(Bacillus)和副球菌属(Paracoccus)等, 得出有氧反硝化细菌是一类以有机碳为能源和电子供体, 硝酸盐、亚硝酸盐和氧作为电子受体的好氧或兼性好氧细菌.如刘晶晶等筛选的恶臭假单胞菌, 能在有氧条件下同时将铵态氮、硝态氮及亚硝态氮转化为气态氮, 且在异养反硝化过程中无硝酸盐和亚硝酸积累, 可完成生物脱氮全过程.
由于本实验过程中氨氮浓度较高, 在硝化过程消耗了碱性物质NH4+, 生成硝酸.浓度较低对系统反应影响不明显, 碱度变化不大, pH维持在6~8之间, 不影响反应的进行.同样有研究指出, 在同一系统中实现同步硝化反硝化过程, 硝化反应的产物可直接成为反硝化反应的底物, 避免了硝化过程中NO3-的积累对硝化反应的抑制, 加速了硝化反应的速度;而且, 反硝化反应中所释放出的碱度可部分补偿硝化反应所消耗的碱, 能使系统中的pH值相对稳定.氨化细菌菌剂和反硝化细菌菌剂浓度增加, 对氨化速率和反硝化速率影响不明显, 硝化细菌菌剂浓度变化对硝态氮的合成速率有明显影响, 也可以得出氨化细菌和反硝化细菌原菌剂浓度可以满足氮代谢需求, 硝化细菌菌剂浓度增加, 可以提高硝态氮合成速率.在菌剂Ay处理黑臭水体实验过程中, 氨氮浓度增加, 而硝态氮和亚硝态氮减少, 由于在有机氮转化过程中, 体系氨氮浓度同时受有机氮的氨化过程和氨氮的硝化过程控制, 氨氮随有机氮的转化而累积, 随硝化过程的进行而逐渐降低.实验结果表明Ay菌剂在氮转化过程中, 氨化、硝化、反硝化同时进行, 但主要以氨化作用为主要代谢方向.Ay菌剂细菌浓度增加3倍, 氨化效率没有成倍增加, 说明增加氨化细菌浓度不是增加氨化速率的最佳方法;Xw菌剂对硝态氮浓度变化影响显著, 低菌剂浓度条件下60h硝态氮积累浓度提高180%, 高菌剂浓度为231%.Xw菌剂浓度增加, 开始时可以增加硝态氮的生成速率, 但随着硝态氮浓度的增加, 硝态氮生成速率缓慢, 但硝态氮整体浓度较低, 虽然生成效率较高, 但浓度仍然很低.能去除亚硝酸盐的细菌种类繁多, 作用机理复杂, 已有研究表明, 亚硝酸盐的去除主要是通过微生物的同化作用、酶降解和酸降解完成.Fy菌剂反硝化效率在不同底物浓度条件下变化明显, 无论在低浓度总氮还是高浓度总氮都能去除硝态氮, Fy菌剂亚硝态氮的生成效率较慢, 系统中的亚硝态氮一部分由氨氮亚硝化所得, 另一部分由硝态氮反硝化所得在反硝化阶段.产生这些现象的主要原因是硝化-反硝化耦合作用为反硝化反应的主要机制, NO3--N还原成NO2--N是反硝化的限速步骤, 它比NO2--N反硝化的速率慢2倍.同样有研究指出反硝化细菌NO3--N的反硝化速率缺氧与好氧条件相比基本相同, 因此在研究中底物浓度不同条件下, 反硝化速率变化不大.得出在水处理脱氮过程中, 反硝化过程是脱氮工艺的限速步骤.
现今大湾区面临的水生态环境问题主要是河涌水体污染严重, 虽然局部得到了改善, 但黑臭水体治理的道路仍然漫长;同时, 湾区内受陆域和海洋动力的影响, 污染物的扩散和降解较为困难, 增加了治理难度[38], 菌剂的投加符合大湾区黑臭水体的区域和水体特征.
4 结论
(1) 每种菌剂在氮代谢过程中有主代谢方向, 同时进行其它氮代谢反应, 其代谢特征存在差异.
(2) 氨化菌剂和反硝化菌剂浓度增加, 对氨化速率和反硝化速率影响不明显;硝化菌剂浓度变化对硝态氮的生成速率影响明显, 硝化细菌菌剂浓度增加, 可以提高硝态氮生成速率.
(3) 在一定范围内, 增加底物浓度可以增加菌剂效率, 浓度过高将抑制氮的代谢效果;3种菌剂在总氮浓度25 mg·L-1时, Fy菌剂对硝态氮的去除达到最好效果.(来源:环境科学 作者:赵志瑞)
365污泥处理厂家:以"蓝色销毁,让天空更蓝"为己任,公司致力销毁领域内的服装销毁、食品销毁、化妆品销毁、工业边角料处置、一般产品报废处理等板块。专注于销毁领域的精准服务,让销毁更透明更阳光。主要业务:污水处理、污泥处理、废水处置、污水净化、污泥干燥、污泥脱水、污泥干燥、食品销毁、饮料销毁、乳制品销毁、电子产品销毁、服装销毁、化妆品销毁等服务。